球镜度:-0.25D至-7.00D。任意基弯、任意折射率。
球镜度:-0.25D至-26.00D;柱镜度:0.00至-4.00D。任意基弯、任意折射率。
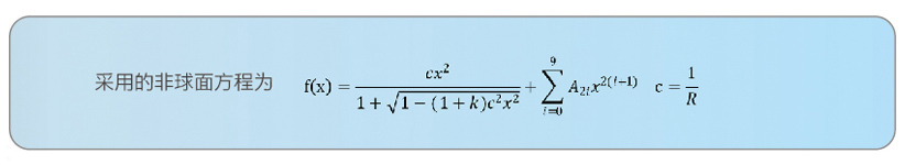
圣谱光学公司开发的非球面镜片,根据光学成像理论原理设计,所设计的镜片可实现理想成像。众所周知,虽然通常所用的眼镜片是球面镜,但球面镜片并不能理想成像,球面镜越到边缘度数越大,会让成像变得扭曲。简单的描述可表示如下:当一束平行光透过镜片时,其会聚光束(老花镜片)或发散光束(近视镜片)的反向延长线如果能聚焦与一点,这就是理想成像,否则就是存在球差,不能理想成像或者说成像存在畸变。而非球面镜片的设计修正了像差,让人们看到的东西更加真实自然。
1. 非球面镜片更加的平薄美观、屈光分布均匀平滑、光度补偿设计、无损边缘光学性能。
2. 全景优化设计,可视角度可任意优化,极大提高了周围视野,视野更加开阔。
3. 可最小化不需要的畸变区域及光度错误。
4. 模具精度高,采用高精密自由曲面磨床加工,可保证生产的模具具有优异度。

(以-2.75D光度非球面镜片为例)
分析数据来源于美国ZEMAX光学设计软件。





